Did you know?
Mitochondria have their own DNA ā evidence they were once independent bacteria absorbed by early cells.
Did you know?
Mitochondria have their own DNA ā evidence they were once independent bacteria absorbed by early cells.
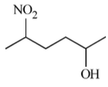
Which amongst the following will be most readily dehydrated under acidic conditions?




To solve this problem, we need to determine which compound will be most readily dehydrated under acidic conditions.Dehydration of alcohols typically involves the formation of a carbocation intermediate. The stability of this intermediate is crucial.The more stable the carbocation, the more readily the alcohol will dehydrate.Let's analyze each option:⢠Option 1: The alcohol is secondary, and the presence of the
More practice, more score
Use hints to get start solving
Ask any question, get instant answers
Get detailed step by step solutions
Read while solving
Improve every day